

Hello,
Dr. Batman
Hello Doctor, Welcome!
Profile

Name: Batman
Email: batman@gotham.com
FAMILY MEDICINE & STATISTICS REVIEW
(Total Questions - 139)Q.1. What does Tertiary prevention includes?
Correct Answer : D
Q.2. Which questionnaire used to differentiate between sleep apnea and snoring?
Correct Answer : B
The Epworth Sleepiness Scale (ESS) is a widely used tool to differentiate between sleep apnea and snoring, although it doesn't directly diagnose the conditions, it helps in assessing the likelihood of sleep apnea by evaluating daytime sleepiness, which is a common symptom of obstructive sleep apnea (OSA).
Q.3. You are doing an adolescent female counselling session on fast food. What you should advise her?
Correct Answer : B
Q.4. A study was conducted on a population of 10,000 individuals. At the start of the study, 2,000 individuals were diagnosed with diabetes mellitus (DM). At the end of the study, the number of people diagnosed with DM increased by 1,000. What is the incidence of diabetes mellitus in this population during the study period?
Correct Answer : A
Q.5. Which of the following is proven to prevent some cancers?
Correct Answer : B
Some articles suggest a strong link between High vitamin D levels and low risk of cancers.
Q.6. Which one of the following decreases the chances of colon cancer?
Correct Answer : C
Q.7. Which of the following is known to have protective effect against some cancers?
Correct Answer : A
Q.8. The drug used in smoking cessation is contraindicated in patient with which of the following?
Correct Answer : A
Bupropion was developed and initially introduced in the United States as an antidepressant but was subsequently noted to reduce the desire to smoke cigarettes and shown in clinical trials to be effective in smoking cessation, one of its commonest contraindications is past history of Epilepsy.
Q.9. A patient is taking bupropion to quit smoking. Which of the following is a known side effect of bupropion?
Correct Answer : B
Bupropion, a medication used for smoking cessation and depression, is known to have insomnia as one of its common side effects. Other potential side effects include dry mouth, headache, and increased risk of seizures, particularly at higher doses. It generally does not cause weight gain or sedation, which differentiates it from some other medications used for similar purposes.
Q.10. Statistics of a village in 2008, Total number of population: 2500, Total number of stillbirth: 10, Total number of live birth: 18, Total number of dead: 25, Total number of marriage: 15. What is the Crude Death Rate (CDR) for the village in 2008?
Correct Answer : A
Crude death rate = no. of deaths\\Population number ×1000
Q.11. Regarding screening for cancer, which of the following is TRUE?
Correct Answer : C
Q.12. How would you label the physician's carelessness?
Correct Answer : C
Q.13. A diabetic patient, who is diagnosed 2 weeks back, came to your clinic at scheduled appointment that is supposed to be at 10:00 AM, but because you were having another complicated case. He had to wait for more than an hour, and he was extremely angry, what you will do?
Correct Answer : D
Q.14. Regarding SEM (standard error of the mean) what is true?
Correct Answer : A
Q.15. What is the maximum recommended dose of ibuprofen per day for an adult?
Correct Answer : D
The maximum dose according to guidelines is: 800 mg per dose or 3200 mg per day.
Q.16. Regarding smoking cessation, the following are true EXCEPT?
Correct Answer : B
Q.17. A patient has received yellow fever vaccine and then developed itching, nausea and vomiting, how will you manage?
Correct Answer : A
Q.18. According to the attached graph, What is the risk of osteoporosis?

Correct Answer : D
Q.20. A mother came to you for a advise regarding vaccination. she is breast feeding her child and she want to take MMR vaccine. what will be your advice?
Correct Answer : A
Q.21. A 73 years old patient, farmer by profession, came to you with a complaint of dry eyes, he is smoker for 20 years and smokes 2 packs/ day. How will you manage?
Correct Answer : B
Q.22. In a certain study they are selecting the 10th family in each group. What is the type of sampling used in this study?
Correct Answer : A
The process of selecting every 10th family in each group is known as systematic sampling. In this method, the researcher selects every kth individual (or unit) from a list after starting at a random point. It is a type of probability sampling where the sampling interval (in this case, every 10th family) is predetermined.
Q.23. What is true about positive predictive value?
Correct Answer : A
Q.24. Which of the following temperature is the optimum to store vaccines?
Correct Answer : A
Refrigerated vaccines are stored between 2C and 8C, and frozen vaccines between -50C and -15C.
Q.25. Which of the following is the best preventive method for Lyme disease?
Correct Answer : A
Q.26. Which of the following diseases is NOT transmitted by mosquitoes?
Correct Answer : C
Relapsing fever (**Note: Can be transmitted by Tick).
Q.27. A patient that is having an infection with flavivirus, what is the preventive measure to reduce the spread?
Correct Answer : D
Flaviviruses are typically transmitted through vectors, such as mosquitoes (e.g., Aedes mosquitoes in the case of Dengue and Zika virus). The most effective preventive measure to reduce the spread of these infections is controlling the vector population through measures like mosquito control (eliminating breeding sites, using insecticides, and employing bed nets).
Q.28. What is Positive predicative value?
Correct Answer : A
Q.29. Which of the following medicine is the optimal Cholera prophylaxis?
Correct Answer : A
Q.30. Female come to family physician ask about the diet that decrease Cardiovascular disease risk, She had a positive family history. What will you advise?
Correct Answer : A
Q.31. What is the most difficult disease transmission method to prevent?
Correct Answer : D
Q.34. What is the best way of health education?
Correct Answer : C
Q.35. A child is newly diagnosed with asthma and allergy to dust mite what you will advise his parent?
Correct Answer : C
Q.36. What is the definition of standard deviation ?
Correct Answer : A
Q.38. Which one of these is not live vaccine?
Correct Answer : A
Q.39. What is the best prevention of dust mites?
Correct Answer : C
Eradication of dust mites 1) Reduce humidity levels to less than 50 percent inside your home, especially in the bedroom 2) Airing out the house with open windows allows entry of pollen, which is another allergen as well as food for dust mites. 3) Wash all bedding weekly. Research has shown laundering with any detergent in warm water (77 degrees F) removes nearly all dust mites and cat allergens from bedding 4) Avoid overstuffed furniture because it collects dust 5) Avoid wool fabrics/rugs because wool sheds particles and is eaten by other insects 6) Use washable curtains and rugs instead of wall-to-wall carpeting 7) Cleaning and washing items that harbor them, exposing them to temperatures over 60 °C (140 °F) for one hour.
Q.40. If the likelihood ratio of a disease incidence is 0.3, what does this mean?
Correct Answer : D
A likelihood ratio of 0.3 indicates that the likelihood of a positive test result occurring in a person with the disease is lower than the likelihood of the test result occurring in a person without the disease.
Q.41. Calculate the perinatal mortality in the town of 15000 populations during 2009. During 2009, numbers of deliveries was 105 in total. 5 of them were stillbirth, 4 die in first week, 2 die before their 1st birthday.
Correct Answer : B
Perinatal mortality = stillbirths + death at 1 week of life/ total births*1000
Q.42. At a day care center, 10 out of 50 kids had red eye in the first week , another 30 kids develop same condition in the next 2 week , calculate the attack rate?
Correct Answer : C
Attack rate is the cumulative incidence of infection in a group of people observed over a period of time during an epidemic, usually in relation to food borne illness.
Q.43. What is the most common medical problem faced in primary health care?
Correct Answer : A
Q.44. Before giving influenza vaccine , you should know if the patient allergy to which substance?
Correct Answer : B
Q.45. What are the greatest method to prevent the diseases?
Correct Answer : A
Q.46. You were working in a clinic with a consultant who prescribed a drug that was contraindicated to the patient (the patient was allergic to that drug) but you didn't interfere & assumed that he knows better than you do. Which of the following you have violated?
Correct Answer : B
Q.47. A study was conducted to evaluate the relationship between smoking and lung cancer. It was found that 90% of lung cancer patients are smokers, and 30% are non-smokers. The researchers are trying to calculate how effectively smoking predicts lung cancer by determining the specificity of smoking as a predictor of lung cancer. Based on the case scenario, which of the following is not sufficient to calculate the specificity of smoking as a predictor of lung cancer?
Correct Answer : D
Q.48. What is the most important factor in attempt of successful cessation of smoking?
Correct Answer : A
Q.49. What is evidence based medicine?
Correct Answer : C
Q.50. A patient is recently diagnosed with cancer. You want to break this bad news, which of the following is true?
Correct Answer : B
Q.51. For health education programs to be successful all are true except?
Correct Answer : C
Q.52. What is Relative risk?

Correct Answer : A
Relative risk is a ratio of the probability of the event occurring in the exposed group versus a nonexposed group.
example where the probability of developing lung cancer among smokers was 20% and among nonsmokers 1%.
Q.53. Patient with family history of coronary artery disease, his BMI= 28, came to you asking for the advice. What will you advise him?
Correct Answer : D
Q.54. What is the 1st step in the epidemiological study ?
Correct Answer : A
The first step in an epidemiological study is to strictly define exactly what requirements must be met in order to classify someone as a "case." This seems relatively easy, and often is in instances where the outcome is either there or not there (a person is dead or alive).
Q.55. Patient has family history of DM, he is overweight, what is the initial dietary management for him?
Correct Answer : A
Q.57. What is true for Battered women syndrome?
Correct Answer : A
Q.58. A mother is worried about radiation from microwave if exposed to her child. What would you tell her?
Correct Answer : A
Q.59. What is the most important in counseling?
Correct Answer : B
Q.60. In breaking bad news what should we have to analyze?
Correct Answer : A
Q.61. AA study is conducted to assess the long-term risk of taking calcium in two groups: one group consists of individuals who have been taking calcium supplements for an extended period (diseased group), and the other group is a control group. Both groups are matched according to geographical location, site, and population. What type of study design does this scenario represent?
Correct Answer : A
Q.63. A lady came to your clinic, said that she doesnβt want to do mammogram and preferred to do breast self-examination, what will be your response?
Correct Answer : B
Q.64. What is the description of Case Control?
Correct Answer : A
Q.65. A vaccination for pregnant lady with DT is due, what will you tell her about the vaccine?
Correct Answer : C
Q.66. What is true for Epidemic curve ?
Correct Answer : C
Q.67. Which of the following correlates with BMI 30?
Correct Answer : A
Q.68. A patient came with major depression disorders. During communication with patient, what you will find?
Correct Answer : C
Q.69. If you see patient and you face difficulty to get accurate information from him, what is the best approach to proceed?
Correct Answer : A
Q.70. A patient want to quit smoking you told him that symptoms of nicotine withdrawal peak will occur after how many days?
Correct Answer : A
Q.71. What is the shape of a distribution graph seen in a normal distribution curve?
Correct Answer : A
Q.72. When to give adult varicella vaccine?
Correct Answer : B
Q.73. While you are in the clinic you found that many patients present with red follicular conjunctivitis (Chlamydia), what will be your management as a public health officer?
Correct Answer : A
Q.75. What is true about annual influenza vaccination?
Correct Answer : A
The vaccine is updated annually because of antigenic drift, where the influenza virus undergoes minor changes that can make the previous year's vaccine ineffective.
Q.76. What is the best advice to patient who are travelling to water-borne disease endemic areas?
Correct Answer : A
Q.77. True negative test is best described as which of the following?
Correct Answer : A
Q.78. What does endemic mean?
Correct Answer : C
Endemic: the constant presence of a disease or infectious agent in a certain geographic area or population group. (usually rate of disease).
Epidemic: the rapid spread of a disease in a specific area or among a certain population group.excessive rate of disease).
A pandemic: is a worldwide epidemic; an epidemic occurring over a wide geographic area and affecting a large number of people.
Q.79. What is the best sentence to describe specificity of screening test, is the population of people who ?
Correct Answer : A
Sensitivity: The probability that a diseased patient will have a positive test result.
Specificity: The probability that a non-diseased person will have a negative test result.
Sensitivity = a / (a + c) Specificity = d / (b + d).
A sensitive test is good for ruling out a disease.
High sensitivity = good screening test (decreases false negatives).
High specificity = good for ruling in a disease (good confirmatory test).
Q.80. The way to determine the accuracy of occult blood test for 11,000 old patients is by measuring which of the following?
Correct Answer : A
Q.81. In developing country, what is added in water to prevent dental caries?
Correct Answer : A
Q.82. Gardener has recurrent conjunctivitis. He canβt avoid exposure to environment. In order to decrease the symptoms in the evening, GP should advise him to do what?
Correct Answer : D
Q.84. Which of the following increases the quality of the randomized controlled study & make it stronger?
Correct Answer : A
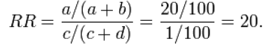
Q.85. Using the following classification, relative risk of those with risk factor to those without risk factor is which of the following?

Correct Answer : A
The relative risk (RR) is calculated by comparing the risk of the disease in those with the risk factor to the risk in those without the risk factor. This is given by the formula:
RR=Risk in exposed group/ risk in un-exposed group
Q.86. A female underwent an abdominal surgery, she went to physician for checkup for ultrasound to reveal metal clip (10 cm) inside abdomen (missed during operation). what will you do now?
Correct Answer : C
Q.87. When a person is predicated not to have a disease he is called (Negative). Then what is true negative?
Correct Answer : D
Q.88. Which is the strongest type of epidemiological studies?
Correct Answer : A
Q.89. Regarding standard error of the mean (SEM), which of the following is true?
Correct Answer : C
Q.90. Forcing the child to go to the toilet before bedtime and in the morning, you'll control the problem of what?
Correct Answer : A
Q.91. A patient with heart disease complain of lower limb ischemia, what will be your advice?
Correct Answer : B
Q.92. A patient came in your OPD with severe headache and decrease in visual acuity, pupils are dilated, what is the treatment?
Correct Answer : A
Q.93. Heavy smoker came to you asking about other cancer, not Lung cancer. Smoking increase the risk of which one of the following?
Correct Answer : B
Q.94. What is the major aim of PHC in Saudi Arabia?
Correct Answer : A
Q.95. A patient has a tender, red, painful nodule on lacrimal duct site. Before referring him to ophthalmologist what you will do?
Correct Answer : C
Q.96. What is the Secondary prevention in breast cancer?
Correct Answer : C
Q.97. A 17 Years old girl came to your OPD. She has missed her second dose of varicella vaccine, the first one about 1 year ago, what you will advise now?
Correct Answer : B
Q.98. There is an outbreak of diphtheria and tetanus in a community. Regarding pregnant woman, which of the following statement is CORRECT?
Correct Answer : D
Q.99. A mother who is breast feeding and she want to take MMR vaccine what is your advice?
Correct Answer : A
Q.100. A child was brought in your OPD with positive skin test of TB but he had PPD negative 6months back. What is the appropriate treatment for this child?
Correct Answer : A
Q.101. A Male patient known case of DM Type II came in your OPD with Hb A1C: 8%, he is taking metformin & glipalamide, Now what will you suggest to regulate the blood sugar?
Correct Answer : A
Q.102. The epidemiological study for smokers said there is 10,000 persons in the given area , at the start of the study there is 2000 smoker, at the end of the study there are 1000 new smokers, what is the incidence of smoking in this study?
Correct Answer : A
Incidence = the rate of new cases of a disease occurring in a specific population over a particular period of time.
Q.103. A 58-year-old female patient presents with a terminal stage of metastatic cancer. She reports severe fatigue, chronic pain, and difficulty breathing. On examination, she appears frail and emotionally distressed. Her family is concerned about her quality of life. What is the most appropriate management approach for this patient?
Correct Answer : A
Q.104. A female patient known to you since 3 years ago has IBS, she didnβt agree with you about that, you do all the investigation and nothing is suggestive of other diagnosis. She wants you to refer her to another doctor. How will you deal this case?
Correct Answer : A
Q.105. A 35-year-old male patient presents with complaints of pain in the back, neck, abdomen, and upper limbs. He has undergone multiple investigations, all of which were normal. Despite reassurance and follow-up in the clinic, he continues to express concern about his symptoms and insists on further evaluation. There is no evidence of any organic pathology. What is the most likely diagnosis?
Correct Answer : B
This condition is characterized by excessive focus on physical symptoms that cannot be fully explained by medical findings, leading to significant distress and functional impairment.
Q.106. A 19 year old boy presented in your clinic due to pleurisy, what is the best management?
Correct Answer : B
Q.107. A young man came in your office with headache. He is describing that this headache is the worst headache in his life . Which of the following will be less helpful?
Correct Answer : C
Q.108. What is the name of a questionnaire that differentiates between primary apnea and sleep apnea?
Correct Answer : B
Q.109. A 73-year-old male farmer presents with complaints of dry eyes. He is a chronic smoker with a 40-pack-year history and spends most of his time outdoors. His symptoms include redness, irritation, and a gritty sensation in his eyes. What is the most appropriate recommendation for this patient?
Correct Answer : B
Q.110. A 30-year-old male presents with a history of exposure to a patient with active tuberculosis (TB) during a recent outbreak in the community. He undergoes a tuberculin skin test (TST), which comes back negative. He has no other symptoms of TB, such as cough, night sweats, or weight loss. What is the most appropriate next step in managing this patient?
Correct Answer : A
Q.111. Which is the Strongest method to prevent the disease?
Correct Answer : B
Q.112. Secondary prevention is best effective in which of the following?
Correct Answer : A
Q.113. Secondary prevention is least likely of benefit in which of the following?
Correct Answer : B
Q.114. What is an example of secondary prevention?
Correct Answer : A
Primary prevention: Action to protect against disease as immunization. , Action to promote health as
healthy lifestyle.
Secondary prevention: Identifying & detecting a disease in the earliest stage before symptoms appear,
when it is most likely to be treated successfully (screening).
Tertiary prevention: Improves the quality of life of people with various diseases by limiting the
complications.
Q.115. All are primary prevention of anemia except?
Correct Answer : D
Q.116. What is the definition of epidemical curve?
Correct Answer : D
Q.117. What is true for Perinatal mortality?
Correct Answer : C
Q.118. You asked to manage an HIV patient who was involved in a car accident. You know that this patient is a drug addict & has extramarital relations. What are you going to do?
Correct Answer : C
Q.119. A 32 years old lady, who work in a file clerk developed, came with sudden onset of low back pain when she was bending on files. The pain is moderately severe since 3 days duration. There is no evidence of nerve root compression. What is the appropriate treatment?
Correct Answer : A
Q.120. You have received the CT scan report of a 34 years old, mother of three, who had a malignant melanoma removed 3 years ago. Originally, it was a Clerkβs level I and the prognosis was excellent. The patient came to your office 1 week ago complaining of chest pain and abdominal pain. A CT scan of the chest and abdomen revealed metastatic lesions throughout the lungs and the abdomen. She is in your office, and you have to deliver the bad news of the significant spread of the cancer. What is the FIRST step in breaking news?
Correct Answer : C
Q.121. Regarding smoking cessation, the following are true EXCEPT?
Correct Answer : B
Q.122. Which of the following is used to calculate the "incidence"?
Correct Answer : B
Q.123. Communicable diseases controlled by which of the following?
Correct Answer : D
Q.124. Treatment of contacts is applied in all of the following except?
Correct Answer : B
Q.125. What is correct about ischemic heart disease?
Correct Answer : C
Q.126. Regarding prospective Vs retrospective studies all are true EXCEPT?
Correct Answer : B
In prospective studies, those who enter the group depend on whether they have the risk factor to be studied or not.
Q.127. A male patient came with a complain of excruciating headache, he wakes up every night from sleep with burning sensation behind left eye, lacrimation and nasal congestion. What is effective treatment for him?
Correct Answer : D
The symptoms described are characteristic of cluster headaches, which are known for their severe unilateral pain around the eye, often associated with autonomic symptoms such as lacrimation and nasal congestion. The first-line treatment for acute cluster headaches includes oxygen therapy (breathing in 100% oxygen at 7-10 L/min via a non-rebreather mask for 15-20 minutes), which is highly effective in relieving symptoms
Q.128. A table about measuring the accuracy of occult blood in detecting polyps is shown below, which of the following measurement is true reflection of the table?

Correct Answer : D
Negative predictive value= True negative/(true negative+ false negative)